4. 선로정수와 코로나
4.7 송전계통의 임피던스
4.7.2 % 임피던스
% 임피던스
어떤 양을 나타내는 데 그 절대량이 아니고 기준량에 대한 비로서 나타내는 방법을 단위법(PU)이라고 한다. 또, 이것을 100배 한 값으로 나타내는 방법이 백분율법, 즉 퍼센트(%) 법이다. 이미 우리가 알고 있는 전압 변동률이라든지 속도 변동률 등 %로 나타내고 있는 양은 어느 것이나 % 법인 것이며, 이때의 기준량이 각각 정격전압, 정격 속도라는 것은 새삼스럽게 설명할 필요가 없다. %법 그 자체는 본래 기준 값으로서 무엇을 취할 것인가 하는 것은 자유이지만 송전선이나 동기기 등에서는 전압, 전류, 주파수의 기준량으로서 각각이 지니고 있는 정격 전압, 정격전류, 정격주파수를 사용하고 있다.
이 %법이나 단위법을 사용할 때의 이점으로서는 다음과 같은 점을 들 수 있다.
① 값이 단위를 가지지 않는 무명수로 표시되므로 계산하는 도중에서 단위를 환산할 필요가 없다.
② 식 중의 정수 들이 생략되어서 식이 간단해진다.
③ 기기 용량의 대소에 관계없어 그 값이 일정한 범위 내에 들어가기 때문에 기억하기 쉽다.
따라서, 송배전 계통에서는 임피던스 값을 Ω으로 나타내는 대신에 %로 나타내는 경우가 많다. Ω 임피던스는 사용하는 전압에 따라 그 값이 각각 달라지기 때문에 하나의 계통이 서로 다른 여러 개 부분으로 이루어질 경우에는 반드시 사전에 계통 전압의 기준값을 정하고 각 부분의 임피던스를 기준으로 한 전압값에 맞추어서 환산해 준 다음에 집계해 갈 수 있다는 특징 있다.
여기서 먼저 % 임피던스의 정의부터 내려본다. % 임피던스는 변압기나 동기기의 내부임피던스라던지 전선로의 임피던스를 %법으로 나타낸 값이다.
지금 그림 4.33에 나타낸 바와 같이 임피던스 Z [Ω]가 접속되고 E [V]의 정격전압이 인가되어 있는 회로에 정격전류 I [A]가 흐르면 ZI [V]가 회로의 정격 전압 E [V]에 대해서 몇 [%]에 해당되는가 하는 관점에서 E [V]에 대한 VI [V]의 비를 %로 나타낸 것이 % 임피던스인 것이며, 여기서는 이것을 % Z로 나타낸다. 즉,


여기서 I [A]는 정격 전류라는 데 유의하여야 한다. 이것을 사용하면 Ω 임피던스처럼 전압에 대한 환산이 필요 없게 되어 아주 편리하다.
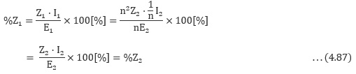
가령 그림 4.34에서 E₂> E₁이라 두고 n=E₂/E₁라고 하자.

1차측에서 본 임피던스를 Z₁[Ω], 2차측에서 본 임피던스를 Z₂[Ω]이라고 하면

로 되어 변압기의 임피던스를 %Z로 나타내면 고압측에서 보거나 저압측에서 보더라도 언제나 그 값이 같기 때문에 Ω Z처럼 전압에 대해서 신경 쓸 필요가 없다. 실제로 발전소나 변전소에 설치되어 있는 변압기의 명판을 보면 임피던스는 모두 %Z로 그 크기를 나타내고 있으며 ΩZ로 나타내고 있는 것은 없다.
'송배전공학_공부' 카테고리의 다른 글
| 37. 옴[Ω] 임피던스와 퍼센트[%] 임피던스의 차이 (0) | 2023.01.29 |
|---|---|
| 35. 옴[Ω] 임피던스 (1) | 2023.01.28 |
| 34. 케이블의 선로정수, 충전전류, 충전용량, 절연저항 (1) | 2023.01.26 |
| 33. 복도체 송전선로의 선로정수 (0) | 2023.01.25 |
| 32. 누설 콘덕턴스 (0) | 2023.01.25 |