4. 선로정수와 코로나
4.3 인덕턴스
4.3.3 도선의 인덕턴스 일반식
도선의 인덕턴스 일반식
다음 그림 4.4와 같이 n개의 도체가 평행으로 배치되어 있을 때 인덕턴스를 구하는 일반식을 유도해 보자.


n개의 도체계에서 도체 1의 자속 쇄교수는 도체 1의 전류 I₁과 그 자속과의 쇄교수와 다른 도체의 전류 Ij(j≠1)에 의한 자속과 I₁과의 쇄교수를 합하면 된다. 그러므로 식 (4.19)를 이용하여


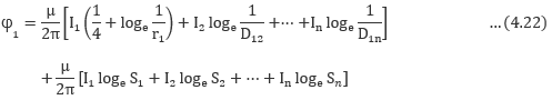
와 같이 된다. 이 식의 두 번째 이후 항을 분자와 분모로 나누어 다시 쓰면

이 된다. 여기서 각 도체로부터 무한 원점까지의 거리가 같다고 가정하면

이 성립하고, 또한 각 도체에 흐르는 전류 I₁, I₂, ··· , Iₙ는 키르히호프의 전류 법칙에 따라 그 합이 0이 되어야 한다.

위의 두 가정을 식 (4.22)에 대입하면 두 번째 항은 0이 되고 식 (4.20)의 등가 반지름을 이용하면 다음과 같다.


이와 같이 주변 도체에 의한 영향까지 모두 고려한 한 상당 인덕턴스를 작용 인덕턴스(Working inductance)라고 한다. 이로부터 n 개의 선로 중 1번 선로의 작용 인덕턴스를 구하면

이 된다. 여기서 μ에 4π x 10⁻⁷ 의 값을 대입하고, 단위를 [mH/km]로 바꾼다. 또, 자연 log를 상용 log로 고치면 (logₑA = 2.3025log₁₀A) 다음과 같은 일반식을 얻는다. 2번, 3번 선로의 작용 인덕턴스도 이와 같은 방법으로 구한다.

'송배전공학_공부' 카테고리의 다른 글
| 28. 선로정수 (인덕턴스) -인덕턴스의 개략값(송전선로의 인덕턴스) (0) | 2023.01.20 |
|---|---|
| 27. 선로정수(인덕턴스) - 대지를 귀로하는 인덕턴스 (1) | 2023.01.17 |
| 25. 선로정수 (인덕턴스) - 직선상 도선의 자속 (0) | 2023.01.13 |
| 24. 선로정수 (인덕턴스) (0) | 2023.01.13 |
| 23. 선로정수 (저항) + 표피효과 (1) | 2023.01.12 |