4. 선로 정수와 코로나
4.1 선로 정수의 개요
4.2 저항
저항
균일한 단면적을 갖는 직선상의 도체의 저항 R은 d [m]에 비례하고, 단면적 A [㎟]에 비례한다. 즉, 식 (4.1)로 표현된다.

여기서 비례 정수 고유저항률 또는 비저항이라고 불려지는 것으로서, 가령 표준 연동의 도전율을 100 [%]로서 비교한 백분율의 퍼센트 도전율을 C [%]라고 하면

로 표시되는 것이다.
* 표준 연동의 저항률 : 20 [℃]에서 1/58 [Ω/m-㎟]이다.
경동선 및 알루미늄선의 도전율은 각각 97 [%] 및 61 [%]를 표준으로 하고 있다.
위의 도전율은 또는 고유 저항은 모두 20 [℃]를 기준으로 하고 있는데 일반적인 전선용 금속 도체는 온도가 올라감에 따라 저항은 증가한다. 지금 기준 온도 t0 [℃]에서 R0 [Ω]인 전선 저항은 온도가 t [℃] 상승하였을 경우에는

로 된다. 단, α는 저항 온도 계수로서 기준 온도에 따라 그 값이 조금씩 달라지는 것인데 일반적으로는 20 [℃]의 값을 기준으로 삼고 있다. 도전율 97 [%]의 경동선에서는 α0=0.00413, α20=0.00381, α30=0.0037 정도이다.
송전선의 저항을 계산하는 데에는 식 (4.1)을 사용하면 되지만 일반적으로 송전선 도체는 연선을 사용하고 있기 때문에 실제의 도체는 송전선의 길이보다 약간 길어지는 것이 보통이므로 식 (4.1)로 단순히 계산한 값보다도 약간 더 큰 값을 지니게 된다.
표피효과
이제까지 보인 전선 저항은 그 단면을 전류가 균등한 밀도로 흐르고 있을 경우의 저항, 바꾸어 말해서 직류에 대한 저항이다. 전선에 교류가 흐를 경우에는 전선 내의 전류 밀도의 분포는 균일하지 않고 중심부는 소하고 주변부에 가까워질수록 전류 밀도가 커지고 있다.
이것은 전선의 중앙부를 흐르는 전류는 전류가 만드는 전자속과 쇄교 하므로 전선 단면 내의 중심부일수록 자력선 쇄교수가 커져서 인덕턴스가 커지기 때문이다. 그 경과 전선의 중심부일수록 리액턴스가 커져서 전류가 흐르기 어렵고 전선 표면으로 갈수록 전류가 많이 흐르게 되는 경향을 지니게 된다. 이것을 표피 효과라고 한다.
표피 효과는 주파수가 높을수록, 전선의 단면적이 클수록, 도전율이 클수록 그리고 비투자율이 클수록 커진다.
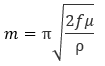
이 때문에 전선의 유효면적은 줄고 저항값은 직류의 경우보다 약간 증대하게 된다. 지금 임의의 도체의 교류저항 Rac, 직류 저항 Rdc의 비를 Φ[mr]라고 두면

여기서,

μ : 투자율
ρ : 고유 저항
f : 주파수
최근에는 계통 용량의 증대에 따라 송전 전압이 초고압화되고 있어서 400 [kV] 이상의 송전 선로에서는 단면적이 1,500 [㎟]를 넘는 전선을 사용하는 경우도 있다. 이러한 전선에서는 표피효과로 저항은 30 [%] 가까이 증대하고 있다.

표 4.1은 표피작용의 일례를 나타낸 것이다.
표 4.1 경동선의 교류 저항 Rac의 직류저항 Rdc에 대한 비
| 경동선의 단면적 [㎟] |
Rac / Rdc | |||||
| 50 [Hz] | 60 [Hz] | |||||
| 50 [℃] | 65 [℃] | 75 [℃] | 50 [℃] | 65 [℃] | 75 [℃] | |
| 500 | 1,055 | - | - | 1,073 | - | - |
| 1000 | 1,192 | 1,175 | 1,164 | 1,262 | 1,242 | 1,225 |
AC에서 저항은 표피효과로 인해 주파수,전선의 단면적,비투자율,저항률에 의해 커지며 DC에서 저항보다 커지게 된다.
(표피효과는 저항성분인 점에 유의, 리액턴스 성분 아님)
'송배전공학_공부' 카테고리의 다른 글
| 25. 선로정수 (인덕턴스) - 직선상 도선의 자속 (0) | 2023.01.13 |
|---|---|
| 24. 선로정수 (인덕턴스) (0) | 2023.01.13 |
| 22. 선로정수의 개요 (0) | 2023.01.12 |
| 21. 지중 전선로의 방식 문제 (0) | 2023.01.11 |
| 20. 지중 전선로의 시공 방식 (0) | 2023.01.10 |