4. 선로정수와 코로나
4.4 정전용량
4.4.2 왕복 2도선의 정전용량
반지름 r [m]의 무한히 긴 직선상 2도선 a, b가 그림 4.20처럼 D [m]의 간격을 두고 가설되고 있다고 한다. 지금 단위 길이마다에 각각 +q, -q [C/m]의 전하를 주었을 경우 양 도선으로부터 각각 S₁, S₂[m]의 수직 거리에 있는 점 P의 전위를 생각해 보자. 도선 간의 거리 D가 도선의 반지름 r보다 훨씬 크다고 하고 양 도선의 전하가 각도선의 중심선에 집중되어 있다고 한다면, a, b 도선상의 전하에 의해 P점에 나타나는 전계의 세기 Uₐ, Ub를 MKS 유리 단위계로 나타내면 다음과 같이 된다.

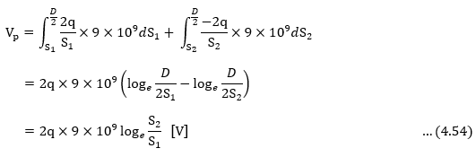
a, b의 중간점인 O의 전위는 a, b 양 도선으로부터 S₁,=S₂=D/2 위치에 있는 관계로 0이 되기 때문에 a, b 양도선상의 전하에 의해서 P점에 생기는 전위 Vₚ는


로 된다.
즉, Vₚ에서 부전하에의 거리 S₂와 정전하에의 거리 S₁과의 비의 대수 및 q에 비례함을 알 수 있다. 그러므로. 도선 a의 전위는 상기 P점을 도선 a의 표면에 옮긴 경우라고 생각해서 다음 식처럼 나타낼 수 있다.

따라서 전위가 0인 중간점 O, 즉 중성선에 대한 도선 a의 정전용량 Cₐ는

로 된다.
도선 b에 대해서도 이와 마찬가지로 해서

인 관계가 성립하고 그 중성선에 대한 정전용량은 Cb=-q/Vb로부터 Cₐ와 같은 값으로 된다는 것을 알 수 있다.
따라서 1도선이 중성선에 대한 정전용량은 Cₐ=Cb=Cₙ으로서 다음식으로 계산된다.

여기서, 이것은 D>>r 인 경우에 성립되는 것이다.
'송배전공학_공부' 카테고리의 다른 글
| 31. 선로정수(정전용량) - 3상 1회선 송전선로의 정전용량 (0) | 2023.01.24 |
|---|---|
| 30. 선로정수(정전용량) - 단선과 대지간의 정전용량 (0) | 2023.01.24 |
| 29. 선로정수(정전용량) (0) | 2023.01.21 |
| 28. 선로정수 (인덕턴스) -인덕턴스의 개략값(송전선로의 인덕턴스) (0) | 2023.01.20 |
| 27. 선로정수(인덕턴스) - 대지를 귀로하는 인덕턴스 (1) | 2023.01.17 |