2. 가공 송전 선로
2.4 전선의 이도
2.4.2 이도의 계산
(1) 전선 지지점에 고저차가 없는 경우
먼저 전선 지지점에 고저차가 없는 경우의 이도를 계산해 본다.
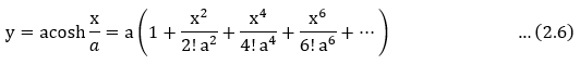
전선은 이것을 완전한 가소성이 있는 것으로 본다면 커티너리 곡선(Catenary curve)으로 취급해서 계산하여야 하지만 일반적으로는 이도가 경간 길이의 10 [%] 이내일 경우에는 포물선으로 계산하여도 실용상 지장이 없다. 즉, 그림 2.4에서 O를 원점으로 하는 커티너리 곡선은

로 표현되지만 실제의 송전 선로에서는 대부분의 경우 이도 D [m]가 경간 S [m]에 비해서 아주 작기 때문에 위식의 제3상 이하를 무시하여도 실용상 아무런 지장이 없다. 즉,

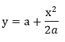
으로 표현되는데 이것은 바로 포물선을 나타내는 관계식으로서 가공 전선은 근사적으로 포물선이라고 취급하여도 된다는 것을 가리키고 있는 것이다.
여기서, a : 정수로서 곡선의 최저점 N의 세로축 좌표값 (=T₀/w)
w : 전선의 중량 [kg/m]
T₀ : N점에 작용하는 전선의 수평 장력[kg]
지금 그림 2.4에서 원점을 O로부터 N점으로 옮기면 y = x² / 2a 이 되고 여기에 x = S / 2를 대입하면 이도 D를 나타내는 식은 다음과 같이 된다.

식 (2.7)은 경간이 S일 때의 전선의 이도 D를 계산하는 식으로서 D는 경간의 길이의 제곱과 전선 중량에 비례하고 전선의 수평 장력에 반비례함을 가리키고 있다.
다음에 전선의 실제의 길이를 L [m]이라고 하면 이도와 경간과의 사이에 다음의 관계식이 성립한다.


즉, 전건의 길이 L은 경간 길이 S보다 8D² / 3S 만큼 더 길어지게 되는데 이것은 S에 비해서 보통은 0.2~0.3 [%] 정도밖에 되지 않는 아주 작은 것이며, 지지점의 고저차나 경간이 클 경우에도 1.0 [%]를 넘는 일은 거의 없다.
위에서 설명한 모든 식에 W로서는 전선의 자체 중량만을 생각하였으나 실제로는 빙설이 부착하거나 또는 풍압이 여기에 더해지기도 하므로 이들의 하중도 함께 고려하지 않으면 안 된다.
지금 전선 자체 중량을 w, 부착 빙설의 중량을 wᵢ, 수평 풍압을 wᵥᵥ라고 한다면 합성 하중 W는 다음과 같이 된다.

그림 2.4에서 전선의 지지점 A, B에 있어서의 장력을 Ta , Tb라고 하면 이경우 Ta = Tb = 최대장력으로서 최저점에서의 수평 장력 T₀에 전선 중량과 이도와의 곱을 더한 것과 같아진다.

위 식에서 wD는 보통 T₀의 1.0 [%] 정도이므로 Ta = Tb ≒ T₀, 즉 전선의 각 점의 장력은 모두 수평 장력 T₀와 같다고 가정해서 설계하여도 별 문제가 없다.
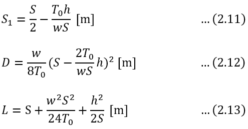
(2) 전선 지지점에 고저차가 있는 경우
그림 2.5에 보인 것처럼 양 지지점 A, B에 고저차 h [m]이 있을 경우에도 전선이 만드는 곡선은 포물선을 그리게 되고 이것으로부터 경간 길이, 이도 및 전선의 길이를 다음과 같이 구할 수 있다.


실제로 이도를 계산할 경우에는 전선의 최대 사용 장력을 먼저 구해야 하는데, 이것은 전기설비 기술기준에서 정하고 있는 안전율(경동선에서는 2.2 이상, 그 이외의 전선에서는 2.5 이상)을 확보할 수 있도록 전선의 인장 하중으로부터 구해진다.
'송배전공학_공부' 카테고리의 다른 글
| 15. 애자의 정의, 애자의 구비조건 (0) | 2023.01.04 |
|---|---|
| 14. 전선의 진동과 도약 (0) | 2023.01.04 |
| 12. 전선의 허용전류,켈빈의 법칙 (0) | 2023.01.03 |
| 11. 전선의 종류 (조합에 의한 분류) (0) | 2023.01.03 |
| 10. 전선의 종류 (재질에 의한 분류) (1) | 2023.01.02 |